Introdução
A Doença Hepática Gordurosa Associada à Disfunção Metabólica (MASLD) é um problema de saúde pública global, afetando cerca de 30% da população ocidental, com prevalências ainda maiores na América Latina. O manejo da doença é um desafio, sobretudo diante do alto custo e limitada disponibilidade de novas terapias.
A pioglitazona, agonista do receptor PPAR-γ, apresenta efeitos comprovados na melhora da resistência insulínica, redistribuição lipídica e redução da inflamação hepática.
Apesar dos avanços recentes, como o desenvolvimento de moléculas inovadoras – a exemplo do resmetirom e dos agonistas de GLP-1 – o acesso a esses fármacos permanece restrito, principalmente em países de média e baixa renda, devido ao custo elevado e à limitada disponibilidade nos sistemas públicos de saúde.
Nesse cenário, a pioglitazona se destaca como uma opção já estabelecida e acessível, com mecanismos de ação que atuam diretamente nos pilares fisiopatológicos da MASLD: melhora da resistência insulínica, redistribuição do tecido adiposo e redução da inflamação hepática. Esses efeitos, combinados, têm potencial para não apenas conter a progressão da doença, mas também melhorar parâmetros metabólicos associados, oferecendo uma abordagem integrada e de impacto clínico relevante. No entanto, seu papel em uso prolongado em pacientes com MASLD ainda carecia de dados em cenários reais brasileiros.
Metodologia
Pereira et al. conduziram estudo retrospectivo multicêntrico que avaliou pacientes com MASLD, acompanhados em três hospitais públicos no Brasil, tratados com pioglitazona 30–45 mg/dia por até 10 anos.
Critérios de inclusão: pacientes ≥18 anos, uso mínimo de 1 ano de pioglitazona e disponibilidade de elastografia hepática antes e após tratamento.
Critérios de exclusão: pacientes com condições que pudessem comprometer a acurácia da elastografia, ou seja; colestase grave (bilirrubina total > 5 mg/dL), elevação de enzimas hepáticas acima de cinco vezes o limite superior da normalidade, ascite avançada, processos inflamatórios ou infecciosos agudos (colangite), ingestão alimentar nas duas a quatro horas anteriores ao exame, congestão hepática decorrente de insuficiência cardíaca, presença de lesões focais na região de medição ou dificuldades técnicas relacionadas à baixa cooperação.
Variáveis analisadas: dados demográficos, antropométricos e clínicos, incluindo idade, sexo, altura, peso, Índice de Massa Corporal (IMC), presença de DM2 (diabetes mellitus tipo 2), dislipidemia, Hipertensão Arterial Sistêmica (HAS), escore FIB-4 e FAST™, uso de losartana e estatinas. Os exames bioquímicos séricos realizados em todos os pacientes incluíram plaquetas, Alanina Aminotransferase (ALT), Aspartato Aminotransferase (AST), Gama-Glutamil Transferase (GGT), Colesterol total, HDL e LDL. A Medição da Rigidez Hepática (Liver Stiffness Measurement LSM) por Elastografia Transitória Controlada por Vibração (VCTE) e a CAP (Parâmetro de Atenuação Controlada) foram medidas usando aparelhos FibroScan®.
Desfecho primário: variação do escore FibroScan-AST- FAST™ score (marcador não invasivo de risco de MASLD).
.
Os pacientes foram estratificados em dois grupos: 1–3 anos e 4–10 anos de tratamento.
Pacientes receberam pioglitazona para tratar MASLD associada ao diabetes tipo 2 ou para aqueles cuja biópsia hepática demonstrou fibrose de grau ≥F2.
Resultados
O estudo incluiu um total de 65 pacientes, dos quais 39 (60%) eram do sexo feminino.
Um total de 37 pacientes receberam pioglitazona por 1 a 3 anos e 28 pacientes receberam pioglitazona por 4 a 10 anos. A idade média da coorte foi de 58 ± 10,23 anos. No momento da inclusão, 50 (74%) dos pacientes apresentavam hipertensão arterial sistêmica (HAS), 48 (74%) tinham diabetes mellitus tipo 2 (DM2) e 47 (69%) dislipidemia. Em relação à terapêutica, 10 pacientes (15,4%) utilizavam insulina, enquanto 55 (84,6%) estavam em tratamento com metformina e 8 (12,3%) em tratamento com agonistas do receptor de GLP-1. Adicionalmente, 31 (46%) dos participantes recebiam losartana e 41 (60%) estatinas.
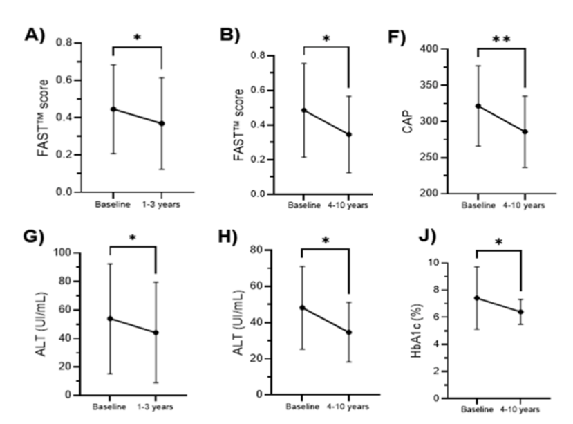
Os resultados encontrados estão na Figura 1 e são resumidos abaixo:
A análise longitudinal dos parâmetros de saúde desde o início do estudo até 1 a 3 anos e 4 a 10 anos revela alterações significativas nos principais biomarcadores, indicando melhorias nas enzimas hepáticas, esteatose hepática e controle glicêmico ao longo do tempo (Fig. 1).
Redução significativa na pontuação FAST™ foi observada entre o início do estudo e o período de acompanhamento de 1 a 3 anos (p = 0,042), sendo ainda mais pronunciada no período de acompanhamento de 4 a 10 anos (p = 0,012).
Os parâmetros da CAP apresentaram redução significativa apenas entre o período basal e o período de acompanhamento de 4 a 10 anos (p = 0,002), sugerindo uma diminuição no acúmulo de gordura hepática a longo prazo.
Melhora no controle glicêmico no período de 4 a 10 anos, destacando o duplo benefício da pioglitazona no tratamento de disfunções metabólicas e hepáticas.
Dislipidemia apresentou uma tendência a maiores chances de redução da LSM, porém sem significância estatística..
Segurança: A descontinuação esteve relacionada à falta de disponibilidade do fármaco no sistema público, e não a efeitos adversos.


Discussão
Este é o primeiro estudo multicêntrico brasileiro a avaliar o impacto da pioglitazona em pacientes com MASLD (Doença Hepática Gordurosa Associada à Disfunção Metabólica), demonstrando, ao longo de até 10 anos de seguimento, melhora consistente e sustentada em parâmetros hepáticos e metabólicos. Foram observadas reduções significativas nas aminotransferases e na gama-glutamil transferase (GGT), sendo a queda da ALT particularmente relevante, pois constitui marcador reconhecido de melhora ou resolução da esteato-hepatite metabólica (MASH) em resposta ao tratamento. Embora não seja confiável usar apenas os valores enzimáticos para inferir a gravidade da doença hepática, a integração desses marcadores à prática rotineira tem o potencial de reduzir a dependência de biópsias hepáticas, que são invasivas, dispendiosas e propensas a erros de amostragem. Isso está alinhado com as recomendações de diretrizes recentes que defendem o uso de ferramentas não invasivas em ambientes clínicos e de pesquisa.
Com a análise dos resultados deste estudo, fica evidente o papel de marcadores não invasivos, incluindo LSM, CAP e FAST™, no monitoramento de respostas terapêuticas. Os parâmetros de elastografia mostraram evolução favorável, com destaque para a diminuição da esteatose avaliada pelo CAP (Controlled Attenuation Parameter). Essa resposta, associada à redução significativa do FAST™ score, especialmente após quatro anos de tratamento, reforça o potencial da pioglitazona em retardar a progressão da MASLD. Além dos efeitos hepáticos, observou-se melhora no controle glicêmico, evidenciando o duplo benefício do fármaco, tanto sobre a resistência insulínica quanto sobre a função hepática.
Esses achados estão alinhados ao estudo de Cusi et al. (2016), que relatou redução de aproximadamente 47% da esteato-hepatite não alcoólica (NASH) em pacientes diabéticos e não diabéticos tratados com pioglitazona, acompanhada por queda das enzimas hepáticas, indicando impacto positivo nos marcadores de inflamação e lesão hepática.
Apesar de terapias emergentes, como resmetirom, agonistas de GLP-1 e elafibranor, apresentarem resultados promissores, sua aplicabilidade clínica ainda é limitada por barreiras de custo, acesso e disponibilidade, sobretudo em países de baixa e média renda. Nesse cenário, a pioglitazona se destaca como alternativa viável e custo-efetiva, oferecendo uma opção realista para o manejo da doença em contextos de restrição orçamentária, como o Brasil.
As principais limitações deste estudo foram seu desenho retrospectivo e o tamanho relativamente pequeno da amostra, o que pode limitar a generalização dos achados. Além disso, destacamos também como limitação do estudo, a ausência de avaliação histológica, o que restringe a análise direta do impacto na atividade inflamatória e na fibrose. No geral, embora a ausência de dados histológicos seja uma limitação relevante, as alterações bioquímicas e os parâmetros elastográficos observados no presente estudo fornecem informações valiosas sobre a potencial eficácia da pioglitazona na melhora dos biomarcadores da doença hepática. Também vale observarmos outra limitação importante, a variabilidade no tempo de tratamento (1 a 10 anos) que gerou heterogeneidade, embora a divisão em coortes de curto e longo prazo tenha contribuído para mitigar esse efeito. Segundo os autores, estudos com acompanhamento mais uniforme e inclusão de dados histopatológicos poderão fortalecer ainda mais as evidências sobre o papel da pioglitazona no manejo da MASLD no futuro.
Conclusão
Os resultados deste primeiro estudo multicêntrico brasileiro indicam que a pioglitazona representa uma alternativa terapêutica eficaz para pacientes com MASLD, promovendo benefícios sustentados em parâmetros hepáticos, metabólicos e glicêmicos ao longo do acompanhamento. A melhora nas enzimas hepáticas, nos escores não invasivos e na esteatose hepática avaliada por elastografia reforça seu potencial clínico, sobretudo em contextos de recursos limitados, onde o acesso a novas terapias permanece restrito. Embora a ausência de dados histológicos e a heterogeneidade na duração do tratamento configurem limitações, os achados fornecem evidências relevantes sobre o papel da pioglitazona no manejo de longo prazo da doença. No entanto mais pesquisas são necessárias para consolidar sua eficácia e explorar possíveis combinações com terapias emergentes.
Referência:
1 - Pereira IVA, Souza de Oliveira AB, Yoshimura Zitelli PM, Arrivabene Barbieri L, Cardoso AC, de Sousa Dias Monteiro MJ, et al. Long-term pioglitazone use in MASLD patients: insights from a multicentric preliminary study. Clin Res Hepatol Gastroenterol. 2025;49(1):100737.
2 - Cusi K, Orsak B, Bril F, Lomonaco R, Hecht J, Ortiz-Lopez C, et al. Long-term Pioglitazone treatment for patients with nonalcoholic steatohepatitis and prediabetes or type 2 diabetes mellitus: a randomized trial. Ann Intern Med. 2016; 165(5):305–315.